Index of /pub/NetBSD/NetBSD-release-9/src/crypto/external/bsd/heimdal/dist/lib/hcrypto/libtommath/logs
Parent Directory
CVS/
README
add.log
addsub.png
expt.log
expt.png
expt_2k.log
expt_2kl.log
expt_dr.log
graphs.dem
index.html
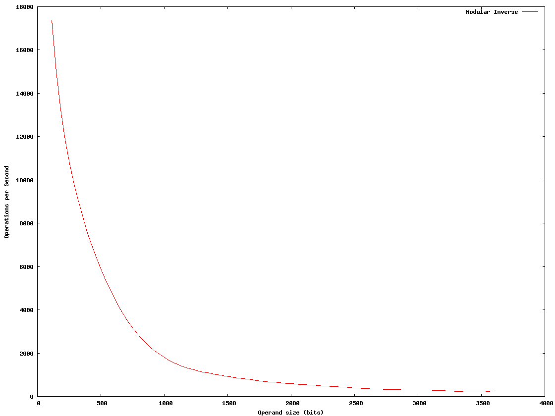
invmod.log
invmod.png
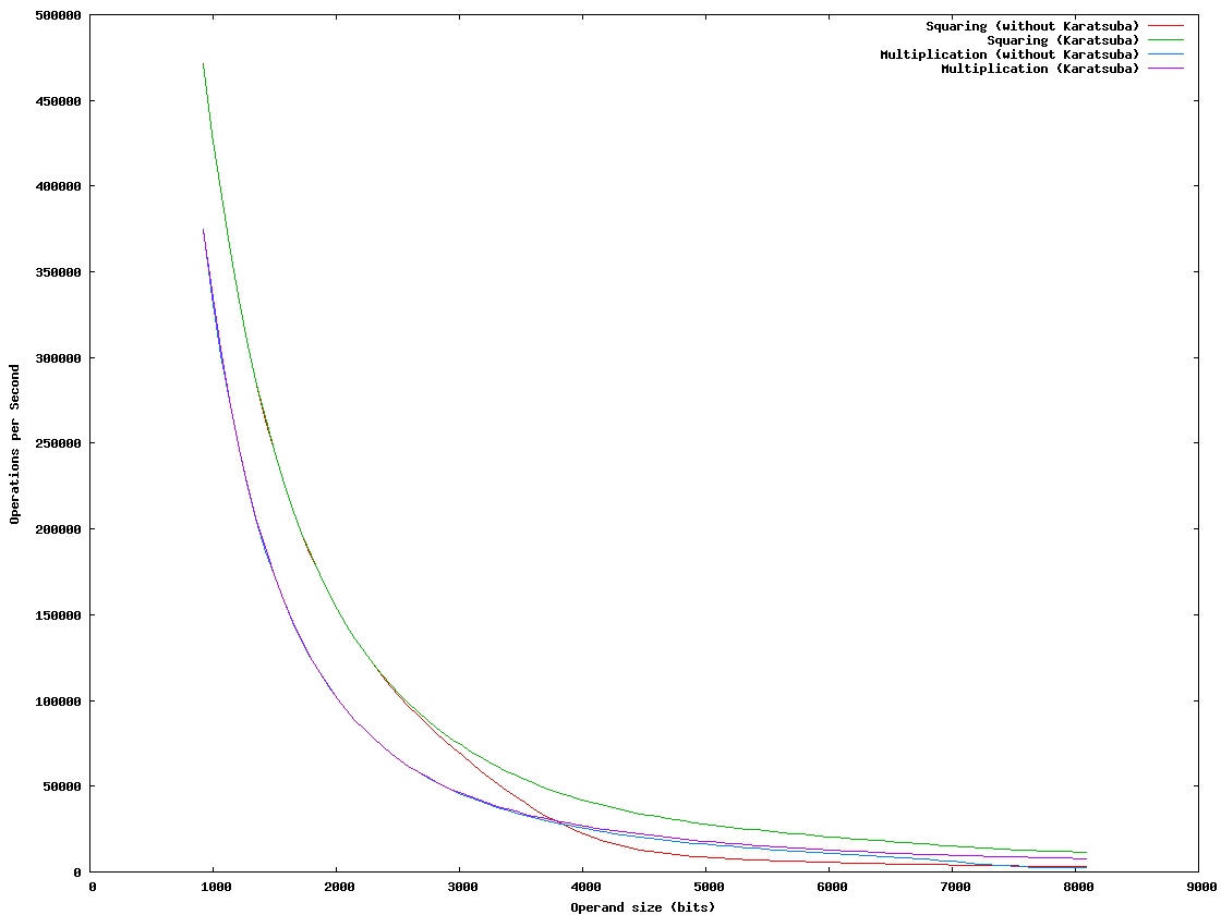
mult.log
mult.png
mult_kara.log
sqr.log
sqr_kara.log
sub.log
Apache/2.4.66 (FreeBSD) Server at www.dnsbalance.ring.gr.jp Port 80